Issue:January/February 2026
CONTROLLED RELEASE - Challenges in Consistent & Predictable Delivery of Drugs Using Oral Controlled Release Technologies
Key Points
- Variability in delivery of pharmaceutical drug products can arise from numerous sources, including the properties of the formulation ingredients [i.e., the active pharmaceutical ingredient (API) and the excipients], manufacturing processes, patient differences, and the interactions of the four factors.
INTRODUCTION
Quality by Design (QbD) is a systematic approach to pharmaceutical development that emphasizes the integration of quality into the design, development, and manufacturing processes. This approach is grounded in the principles of sound science and quality risk management, aiming to ensure consistent product quality by understanding and controlling variability throughout the product lifecycle.1-3 The concept of QbD has gained significant attention in the pharmaceutical industry as it is a proactive approach for identifying and mitigating potential quality issues early in the development process. However, implementation of QbD principles has been challenging as it can be difficult to interpret and apply guidance set out by regulatory bodies like the US FDA and the International Council for Harmonization of Technical Requirements for Pharmaceuticals for Human Use (ICH).4 That said, understanding how variability impacts drug products is a common theme among the guidance.
Variability in delivery of pharmaceutical drug products can arise from numerous sources, including the properties of the formulation ingredients [i.e., the active pharmaceutical ingredient (API) and the excipients], manufacturing processes, patient differences, and the interactions of the four factors.
- API Properties: The solubility, stability, and bioavailability of the API can significantly impact the final product’s performance.
- Excipient Selection: Excipients play a critical role in drug formulation, affecting the drug’s stability, quality, release performance, and overall efficacy.
- Manufacturing Processes: The techniques, equipment, and conditions used during manufacturing can introduce variability, including drift, consequently affecting product quality.
- Patient Differences: Physiological and genetic differences among patients can influence how a medication works, adding another layer of complexity to ensuring consistent drug delivery.
Patient-to-patient (or population-to-population) differences can be difficult to control and are of interest in patient-focused drug development but are not explored in this article.5 The sources of ingredient, process, and final drug product variability can be broadly categorized into intra-batch variability (variations within a single batch) and inter-batch variability (variations between different batches).4,6
Excipient selection is a key consideration within the QbD framework, particularly for controlled release (CR) technologies. Excipients must be chosen carefully to ensure they deliver the needed processability, quality, stability, and performance during and following the manufacture of dosage forms. Understanding the impact of these factors is essential for developing robust and consistent drug products.
CONTROLLED RELEASE TECHNOLOGIES
Controlled release (CR) technologies deliver drugs at a predetermined rate, maintaining therapeutic levels over an extended period. Common CR technologies include:
- Matrices: These systems comprise a monolithic matrix, typically using a polymeric material to control drug release through diffusion and/or erosion mechanics. The type of matrix and its properties can significantly impact release performance.
- Osmotic Pump Tablets: These tablets use osmotic pressure difference between the inside of the dosage and the external environment to deliver the drug at a controlled rate. Careful selection of the design and function of these systems is needed to attain targeted performance.
- Barrier Membranes: These membranes control drug release by acting as a barrier between the API and the external environment, limiting the diffusion pathways by which an API can migrate out of the system. Tailoring the properties and applications of barrier membranes achieves the desired release performance.
Each CR technology has unique key attributes that are important for consistent product performance. Excipients, API and manufacturing variables (and often their interactions) all contribute to both performance robustness and consistency of the drug product. The critical to quality (CTQ) properties of a given drug product must be evaluated on a case-by-case basis. However, there are many examples of how excipient attributes, API properties, and manufacturing process parameters impact drug product performance and consistency. Presented below are examples of how excipients and their interactions with either API or manufacturing process can lead to inconsistent performance and key elements to reduce variability.
IMPORTANCE OF THE PERCOLATION THRESHOLD IN CR MATRICES
Controlled release properties of matrices often rely on the interconnection of polymeric particles to form a continuous phase. The minimum concentration to form the continuous phase is known as the percolation threshold (PT). Once at or above the PT, the drug release becomes more consistent and predictable.
The particle size of the rate controlling polymer influences the percolation threshold and the consistency of drug release from CR matrices.7 For example, Figure 1 illustrates the combined influence of hydroxypropyl methylcellulose (HPMC) particle sizes (fine, medium, coarse particles made from sieve cuts of the commercial material) and polymer concentration in the tablet (10%-50%) on controlled release from matrix tablets (7.5 wt% Gliclazide, 0.5% talc, 0.5% magnesium stearate, HPMC at specified concentration and remaining composition made of lactose and microcrystalline cellulose in 1:1 ratio).8 The data clearly demonstrates that increasing the HPMC concentrations (>30%, depending on the particle size) reduces drug release variability. In addition, finer HPMC particles result in slower and more consistent drug release at lower HPMC concentrations, compared to coarser particles. Finer particles hydrate rapidly and uniformly, facilitating the coalescence of polymer chains and the formation of a continuous swollen gel layer barrier – a prerequisite for controlled release. This observation is consistent with the findings of Mason et al., who emphasized the importance of early swollen (gel) layer formation in achieving robust controlled release.9 A study by Kulinowski et al. also highlighted the importance of particle size distribution in achieving consistent gel formation and drug release.7

In contrast, coarser HPMC particles exhibit delayed hydration and less uniform swelling, which can hinder the formation of a percolating polymer network, especially near or below the percolation threshold (PT). The PT is approximately 30% for fine HPMC particles and increases for coarser particles to approximately 40%. Formulating below the PT can lead to incomplete swollen (gel) layer formation, increased water ingress, and dose dumping or higher performance variability (Figure 1).
The images in Figure 2 provide visual confirmation of the hydration/swelling behavior of HPMC matrices with different particle sizes at 30% HPMC concentration. The images show the formation of a swollen gel layer around the tablet surface for coarse, medium, and fine HPMC grades. Notably, the fine particle size results in a more uniform and contiguous swollen layer, even at early hydration stages, compared to the coarse particle size. This observation supports the mechanistic insights proposed by Mason et al., who used confocal laser scanning microscopy (CLSM) to demonstrate that early stage gel layer morphology is a key determinant of controlled release performance.9 The coarse particle size, by contrast, shows a more heterogeneous and delayed swollen (gel) layer formation, with visible gaps and irregularities in the network. The inter-particle distances are too large to allow effective coalescence, preventing the formation of a robust swollen gel layer. Such behavior aligns with the percolation theory framework, where a minimum polymer content and spatial proximity are required to form a continuous network in the design of robust controlled release systems.

REDUCING VARIABILITY IN OSMOTIC PUMP TABLETS
Osmotic pump tablets offer opportunity to achieve zero-order release if the formulation and manufacturing factors are properly selected.10-13 The dissolution profiles in Figure 3 demonstrate that the right balance of osmogen, like sodium chloride, and swelling polymer, like polyethylene oxide (PEO), in the push layer reduces drug dissolution variability and allows for more complete release of the dose. When the salt level is too high, the low polymer content not only leads to incomplete API release but also high variability in release.14 When the salt level is too low, the osmotic pressure is insufficient to achieve complete drug release. At 20% sodium chloride content in the high viscosity PEO push layer, the proportion of osmogen and push polymer in the example formulation are balanced and leads to complete release with low variability. It has also been reported that the amount of drug loading can influence the extent to which that drug is released.10,15 Increasing the drug loading, without significant alternations to the formulation, can result in incomplete drug release.

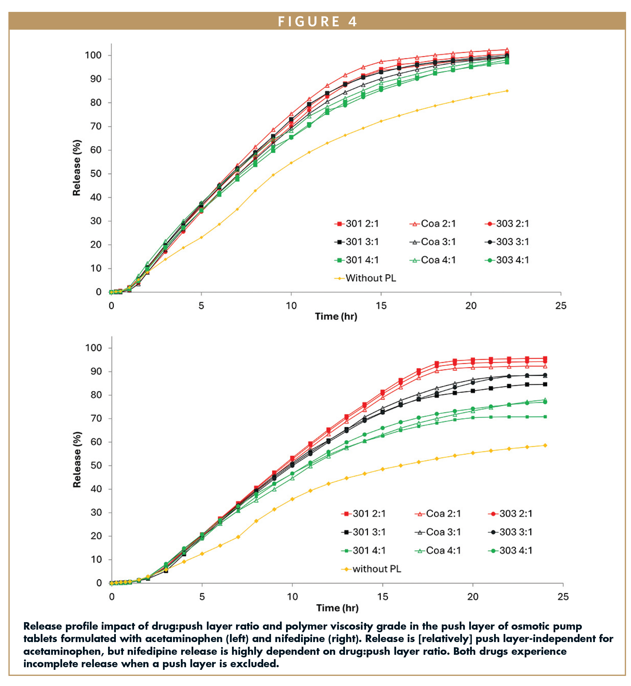
The water solubility of an API can impact the release rate from an osmotic pump tablet, as shown in Figure 4. A moderately water-soluble API, like acetaminophen (left), is not significantly impacted by variability and changes in polymer viscosity or in the ratio of the drug layer to push layer.14 However, release of poorly water-soluble API, such as nifedipine (right), can be impacted by changes in tablet properties, like the drug to push layer ratio. A drug to push layer ratio of 4 to 1 resulted in incomplete drug release (70%-80%); an issue that was corrected by increasing the push layer amount (2 to 1 drug to push layer ratio). In both API examples, the viscosity grade of the swelling polymer had little to no impact on drug release. It should be noted that the three grades used in this example were all very high viscosity grades of PEO: 2wt% solution viscosities of approximately 2,000 cP (POLYOX™ WSR 301), 6,000 cP (POLYOX™ WSR Coagulant) and 9,000 cP (POLYOX™ WSR 303). A similar study also found negligible impact to dissolution when the viscosity of the PEO in the push layer was modulated between high viscosity grades.10 In contrast, too low of PEO viscosity will lead to incomplete release.16 In fact, the right combination of low viscosity PEO in the drug layer with high viscosity PEO in the push layer leads to zero-order release.16
PROCESS IMPACTS ON BARRIER MEMBRANE COATINGS
Several aspects could impact consistency of controlled release performance through barrier membranes, such as the substrate the barrier membrane is coated onto, the active and inactive ingredients making up the substrate, the rate-controlling polymer and its properties, whether the rate controlling polymer is being applied from suspension or solution, presence of plasticizer(s) and other ingredients in the coating formulation, and processing and post-processing conditions during and after coating. All aspects cannot be covered in this article, but the following examples will highlight the need for understanding critical to quality attributes that could impact performance.
The substrate can range in size and geometry from a small spheroidal bead or pellet up to a tablet or large caplet. Surface area to volume ratio and geometric shape could impact barrier membrane consistency. An irregularly shaped granule with rough surface might require more barrier membrane to be applied to attain complete envelopment than either a smooth round bead or a large tablet or caplet. The figures below depict an ideal substrate scenario in terms of a smooth, round shape with minimal surface irregularity and absence of edges.
The applied barrier membrane should be of uniform thickness, at least 50 μm thick as a general rule. There are exceptions, such as push-pull osmotic pump (PPOP) tablets, where the barrier membrane can be 150-200 μm thick. The applied barrier membrane should ideally be defect-free, and the barrier membrane should leave no substrate beneath uncoated.
A polymer applied from solution ideally delivers a more robust and defect-free barrier membrane than a suspended polymer applied from latex or pseudolatex dispersion. That stated, there are concerns associated with environmental or residual solvent impacts from organic solution systems, so aqueous latexes and pseudolatexes are commonly used. Plasticizer is required in aqueous dispersion coatings as it facilitates coalescence of polymer droplets into a film during casting and curing. The figure below shows beads coated with Aquacoat® ethylcellulose dispersion (ECD) with either 24% or 16% dibutyl sebacate (DBS) as plasticizer. At 16% DBS, there are still defects in the applied barrier membrane in the form of cracks. These cracks can lead to faster and inconsistent drug dissolution. Increasing plasticizer level to 24% removes visual evidence of those defects.

Film curing (curing method, temperature, or duration) can significantly impact controlled release performance. A case study using a tolterodine tartrate formulation with ECD coating demonstrates how each of these factors influence the controlled release properties of the barrier membranes.17 First, curing via fluid bed dryer (FBD) is preferred to tray drying for several reasons, but for brevity, fluid bed processing more uniformly cures the barrier membranes on each of the coated substrates and keeps them moving during curing, so that there is less opportunity for substrate agglomeration. Film defects can form during separation of agglomerated substrates, resulting in variability in drug release or dose-dumping. The tolterodine tartrate release in this example is faster for the tray cured samples compared to the fluidized bed cured samples (cured for 2 hours at 55°C), an indication that the films from the tray dried samples were either not fully cured or had defects due to agglomeration of coated particles during curing, followed by introduction of film defects when the particles were deagglomerated. Care still needs to be taken with fluidized bed curing, as the coating might attrit during fluidization before sufficient coalescence has occurred.
Curing temperature also impacts film formation. When uncured (left at room temperature) or cured at low temperatures (35°C using FBD in this case), tolterodine tartrate release is rapid and complete within less than 2 h. Curing at higher temperatures (greater than 45°C in this case study) extended tolterodine tartrate release to about 8 h. Curing at higher than necessary temperatures could have deleterious effects, which should be confirmed on a case-by-case basis.
The case study shows that curing at 55°C for 0.5 and 1 h is insufficient duration to allow complete film coalescence to occur. Release kinetics did however change and become consistent after curing 2 to 3 h. The recommendation from this case study would be to cure using FBP dryer at 45 to 55°C for 2 h to allow for sufficient film coalescence to attain desired controlled release performance.
KEEPING QBD IN THE FOREFRONT
Ensuring consistent delivery of active pharmaceutical ingredients through oral controlled release (CR) technologies is a multifaceted challenge. Variability can stem from the intrinsic properties of the API, the selection and behavior of excipients, and the nuances of manufacturing processes. These sources of variability – both within and between batches – can significantly impact the performance and efficacy of CR drug products.
The application of Quality by Design (QbD) principles offers a structured approach to understanding and controlling these variables. By systematically identifying critical material attributes and process parameters, QbD enables the development of more robust and reliable drug delivery systems. However, the complexity of CR technologies means that not all interactions can be predicted or managed through QbD alone.
Continued research is essential to deepen understanding of the mechanisms driving variability in CR formulations. Advancements in material science, process analytics, and modeling tools will be key to refining CR technologies and enhancing their consistency. A combination of rigorous scientific inquiry, thoughtful formulation design, and adaptive manufacturing strategies will be required to meet the evolving expectations for quality and performance of controlled release drug products.
REFERENCES
- U.S. Food and Drug Administration, “Guidance for Industry: Q8(R2) Pharmaceutical Development,” U.S. Department of Health and Human Services, Silver Spring, MD, 2009.
- U.S. Food and Drug Administration, “Guidance for Industry: Q10 Pharmaceutical Quality System,” U.S. Department of Health and Human Services, Silver Spring, MD, 2009.
- R. Lal, “Small Business Chronicles: New Drug Quality,” Food and Drug Administration, Silver Spring, MD, 2012.
- H. B. Grangeia, C. Silva, S. P. Simões and M. S. Reis, “Quality by Design in Pharmaceutical Manufacturing: a systematic review of current status, challenges and future perspectives,” European Journal of Pharmaceutics and Biopharmaceutics, vol. 147, pp. 19-37, Februrary 2020.
- U.S. Food and Drug Administration, “Patient-Focused Drug Development: Collecting Comprehensive and Representative Input,” U.S. Department of Health and Human Services, Silver Spring, MD, 2020.
- M. M. Szymczak, R. L. Friedman, R. Uppoor and A. Yacobi, “Detection, Measurement, and Control in Pharma Manufacturing: PQRI-FDA Workshop Summary on Process Drift,” Pharmaceutical Technology, vol. 35, no. 10, pp. 70-76, 2011.
- P. Kulinowski, K. Woyna-Orlewicz, G.-M. Rappen, D. Haznar-Garbacz, W. P. Węglarz and P. P. Dorożyński, “An understanding of modified release matrix tablets behavior during drug dissolution as the key for prediction of pharmaceutical product performance – case study of multimodal characterization of quetiapine fumarate tablets,” International Journal of Pharmaceutics, vol. 484, no. 1, pp. 235-245, 2015.
- K. O. Hewlett, T. L. Rogers, K. M. Balwinski, J. L. Curtis-Fisk, E. C. Keene, D. M. Meunier, R. L. Schmitt and S. N. Knot, “Defining Formulation Best Practices for a Direct Compression Grade of HPMC,” in AAPS Annual Meeting and Exposition, Denver, 2016.
- L. M. Mason, M. D. Campiñez, S. R. Pygall, J. C. Burley, P. Gupta, D. E. Storey, I. Caraballo and C. D. Melia, “The influence of polymer content on early gel-layer formation in HPMC matrices: The use of CLSM visualisation to identify the percolation threshold,” European Journal of Pharmaceutics and Biopharmaceutics, vol. 94, pp. 485-492, 2015.
- S. Missaghi, P. Patel, T. P. Farrell, H. Huatan and A. R. Rajabi-Siahboomi, “Investigation of Critical Core Formulation and Process Parameters for Osmotic Pump Oral Drug Delivery,” AAPS PharmSciTech, vol. 15, no. 1, pp. 149-160, 2014.
- G. Li, Y. Wang, H. Chen, D. Leng, P. Ma, Y. Dong, L. Gao and Z. He, “Can semipermeable membranes coating materials influence in vivo performance for paliperidone tri-layer ascending release osmotic pump tablet: In vitro evaluation and in vivo pharmacokinetics study,” Asian Journal of Pharmaceutical Sciences, vol. 10, pp. 128-137, 2015.
- K. Okimoto, A. Ohike, R. Ibuki, O. Aoki, N. Ohnishi, R. A. Rajewski, V. J. Stella, T. Irie and K. Uekama, “Factors affecting membrane-controlled drug release for an osmotic pump tablet (OPT) utilizing (SBE)7m-β-CD as both a solubilizer and osmotic agent,” Journal of Controlled Release, vol. 60, no. 2-3, pp. 311-319, 1999.
- V. Malaterre, J. Ogorka, N. Loggia and R. Gurny, “Approach to design push–pull osmotic pumps,” International Journal of Pharmaceutics, vol. 376, no. 1-2, pp. 56-62, 2009.
- C. Wang, “Study on Formulation and Process of Oral Osmotic Pump Drug Delivery System,” in 3rd Annual Symposium of Drug Delivery Systems, Haikou, China, 2013.
- V. Malaterre, H. Metz, J. Ogorka, R. Gurny, N. Loggia and K. Mäder, “Benchtop-magnetic resonance imaging (BT-MRI) characterization of push–pull osmotic controlled release systems,” Journal of Controlled Release, vol. 133, no. 1, pp. 31-36, 2009.
- T. Nakajima, I. Takeuchi, H. Ohshima, H. Terada and K. Makino, “Push-Pull Controlled Drug Release Systems: Effect of Molecular Weight of Polyethylene Oxide on Drug Release,” Journal of Pharmaceutical Sciences, vol. 107, no. 7, pp. 1896-1902, 2018.
- IFF Pharma Solutions Powered by Roquette, “The 3T’s of curing to make robust controlled release coatings with AquaCoat ECD30,” 25 November 2024. [Online]. [Accessed 2025].
Dr. True Rogers is a Senior Lead Scientist and Technical Fellow at Roquette. He has spent the past 14 years driving innovation and growth, including launching innovation platforms, as well as supporting customers in their customization, development, and problem-solving journeys. He currently holds a Bachelor of Science in Pharmacy and a PhD in Pharmaceutics from the University of Texas at Austin.
Dr. Matthias Knarr is a Research Scientist at Roquette, focusing on the development of new methods for improved characterization. Additionally, he is supporting various R&D projects with a focus on the development of new alginate and cellulose ether products. Matthias studied chemistry at the University of Hamburg and earned his PhD from the Institute for Technical & Macromolecular Chemistry.
Dr. Mark Dreibelbis is a Lead Scientist at Roquette. Previously, he was an Associate Research Scientist at both IFF Pharma Solutions and DuPont Nutrition & Health. He earned his PhD in Chemistry from Cornell University and his Bachelor of Science in Chemistry from Susquehanna University.
Total Page Views: 5918







![Release profile impact of drug:push layer ratio and polymer viscosity grade in the push layer of osmotic pump tablets formulated with acetaminophen (left) and nifedipine (right). Release is [relatively] push layer-independent for acetaminophen, but nifedipine release is highly dependent on drug:push layer ratio. Both drugs experience incomplete release when a push layer is excluded.](https://drug-dev.com/wp-content/uploads/2026/02/F4-276x300.jpg?x52351)










